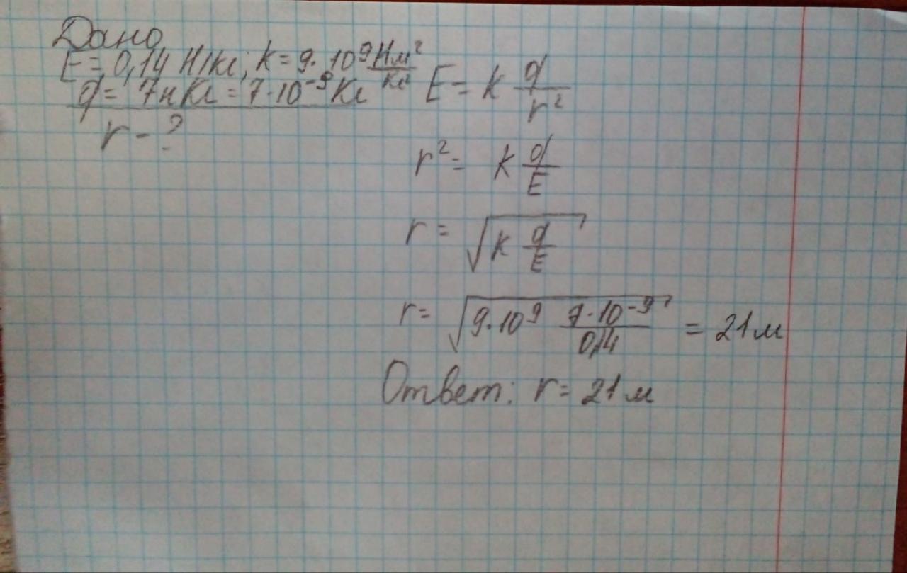
2. На каком расстоянии от заряда 7нКл напряжённость электрического поля будет равна 0,14Н/Кл? (3)
Ответы
Ответ дал:
0
Надеюсь, что правильно решил.
Приложения:

Вас заинтересует
2 года назад
8 лет назад
8 лет назад
9 лет назад