ребятки решите и объясните все привсе ибо я дурачина бестолковая... пожалуйста :(
мне быстренбко надо :( помогите будьте лапками))
Приложения:
Ответы
Ответ дал:
0
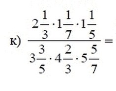
2 1/3* 1 1/7* 1 1/5 = 7/3* 8/7*6/5 = 16/5 = 3 1/5. 3 3/5* 4 2/3* 5 5/7 = 18/5*14/3*40/7 = 96/1 или просто 96. 3 1/5:96= 16/5:96/1 = 16/5* 1/96 там сокращаем и получается 1/5* 1/4= 1/20 Как такое простое задание не решить:)
Ответ дал:
0
1)
2 1/3* 1 1/7* 1 1/5 = 7/3* 8/7*6/5 потом ищем общий знаменатель- 105
дописываем к числителям дробей дополнительные множители к дроби 7/3 - 35; в дроби 8/7 - 15; и к дроби 6/5 - 21
умножаем 35 на 7; 15 на 8; 21 на 6
получаем 245*120*126/105⇒3704400/105=35280
2)
3 3/5* 4 2/3* 5 5/7=18/5*14/3*40/7 общий знаменатель-тоже 105, т.к знаменатели дробей одинаковые. с верхней частью примера
дописываем к числителям дробей дополнительные множители к дроби 18/5 - 21; 14/3 - 35; 40/7 - 15
умножаем 21 на 18; 35 на 14 и 15 на 40
получаем 378*490*600/105⇒111132000/105=1058400
получили в числители этой огромной дроби 35280, а в знаменателе 1058400
теперь нужно 35280 делить на 1058400
35280/1058400=0, 03333333333
выделяем целую часть и получаем 0,03
ОТВЕТ:0,03
2 1/3* 1 1/7* 1 1/5 = 7/3* 8/7*6/5 потом ищем общий знаменатель- 105
дописываем к числителям дробей дополнительные множители к дроби 7/3 - 35; в дроби 8/7 - 15; и к дроби 6/5 - 21
умножаем 35 на 7; 15 на 8; 21 на 6
получаем 245*120*126/105⇒3704400/105=35280
2)
3 3/5* 4 2/3* 5 5/7=18/5*14/3*40/7 общий знаменатель-тоже 105, т.к знаменатели дробей одинаковые. с верхней частью примера
дописываем к числителям дробей дополнительные множители к дроби 18/5 - 21; 14/3 - 35; 40/7 - 15
умножаем 21 на 18; 35 на 14 и 15 на 40
получаем 378*490*600/105⇒111132000/105=1058400
получили в числители этой огромной дроби 35280, а в знаменателе 1058400
теперь нужно 35280 делить на 1058400
35280/1058400=0, 03333333333
выделяем целую часть и получаем 0,03
ОТВЕТ:0,03
Вас заинтересует
3 года назад
3 года назад
8 лет назад
11 лет назад
11 лет назад