• Предмет: Алгебра
  • Автор: motilda99
  • Вопрос задан 3 года назад

алгебра срочно. 7 и 8 задание ​

Приложения:

Ответы

Ответ дал: artvpz
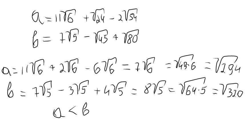
1

Ответ:

залишаємо під знаком корня 6 і 5

Объяснение:

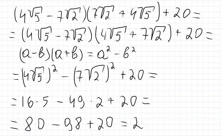
Приложения:
Вас заинтересует