• Предмет: Математика
  • Автор: smoraeslive
  • Вопрос задан 3 года назад

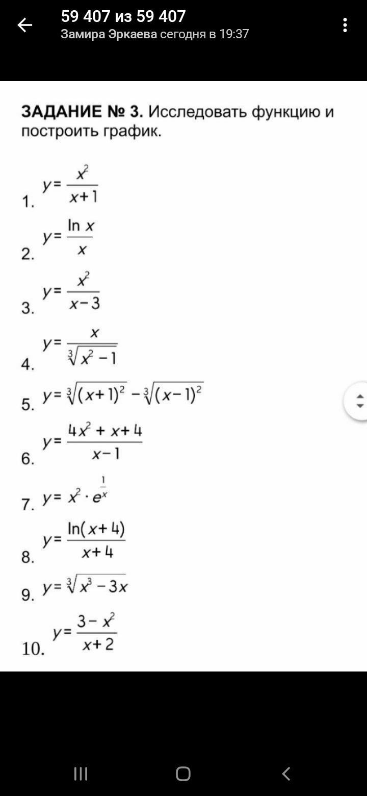
Как это решить помогите буду очень рад 3 задание

Приложения:

Ответы

Ответ дал: grishina72a
0

Ответ:

Пошаговое объяснение

0=x/x-3                             x не должен равняться 3

x/x-3=0

Когда частное выражение равно 0, числитель должен быть равным 0

x=0 x не=3

следовательно 1 корень и x=0

на графике должна быть изображена парабола

Приложения:
Вас заинтересует