• Предмет: Алгебра
  • Автор: kreker133
  • Вопрос задан 3 года назад

помогите пожалуйста! Не могу решить!!!

Приложения:

Sashaznaet05: плохо видно!

Ответы

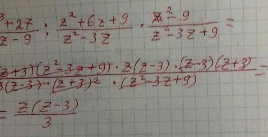
Ответ дал: TamillaAmirbeyova
0

Ответ:

..............................

Приложения:
Вас заинтересует