• Предмет: Математика
  • Автор: iseekhd558
  • Вопрос задан 3 года назад

Даю 30 балов , срочно надо ))))))))​

Приложения:

Ответы

Ответ дал: Miroslava227
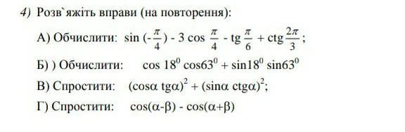
1

A

 \sin( -  \frac{\pi}{4} )  - 3 \cos( \frac{\pi}{4} )  - tg( \frac{\pi}{6} ) + ctg( \frac{2\pi}{3} ) =  \\  =  -  \frac{ \sqrt{2} }{2}  - 3 \times  \frac{ \sqrt{2} }{2}  -  \frac{ \sqrt{3} }{3}  -  \frac{ \sqrt{3} }{3}  =  \\  =  - 4 \times  \frac{ \sqrt{2} }{2}  -  \frac{2 \sqrt{3} }{3}  =  - 2 \sqrt{2}  -  \frac{2 \sqrt{3} }{3}

Б

 \cos(18^{\circ})  \cos(63^{\circ})  +  \sin(18^{\circ})  \sin(63^{\circ})  =  \\  =  \cos(18^{\circ} - 63^{\circ})  =  \cos(45^{\circ})  =  \frac{ \sqrt{2} }{2}

В

 {( \cos( \alpha ) tg(\alpha ) )}^{2}  +  {( \sin( \alpha )ctg( \alpha ) )}^{2}  =  \\  =  {(   \cos( \alpha )  \times  \frac{ \sin( \alpha ) }{ \cos( \alpha ) } )}^{2}  +  {(  \sin( \alpha ) \times  \frac{ \cos( \alpha )  }{ \sin( \alpha ) } )}^{2}  =  \\  =  \sin {}^{2} ( \alpha ) +   \cos {}^{2} ( \alpha )  = 1

Г

 \cos( \alpha   - \beta )  -  \cos( \alpha +   \beta )  =  \\  = \cos( \alpha )  \cos( \beta )   +  \sin( \alpha )  \sin( \beta )  - ( \cos( \alpha )  \cos( \beta )  -  \sin( \alpha )  \sin( \beta ) ) =  \\  =  \cos( \alpha )  \cos( \beta ) +   \sin( \alpha )  \sin( \beta )  -  \cos( \alpha )  \cos( \beta )  +  \sin( \alpha )  \sin( \beta )  =  \\  = 2 \sin( \alpha )  \sin( \beta )

Вас заинтересует