• Предмет: Математика
  • Автор: iseekhd558
  • Вопрос задан 3 года назад

даю 30 балов надо помощь)))​

Приложения:

Ответы

Ответ дал: UnIcorncas
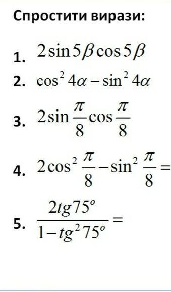
1

Ответ:

1- sin10b

2- cos8a

3- sin пи/4=кор2/2

4- cos пи/4=кор2/2

5- tg150= -1/кор3

Приложения:

iseekhd558: спасибо большое
UnIcorncas: Надеюсь все так
Вас заинтересует