• Предмет: Геометрия
  • Автор: aminaidrisova
  • Вопрос задан 3 года назад

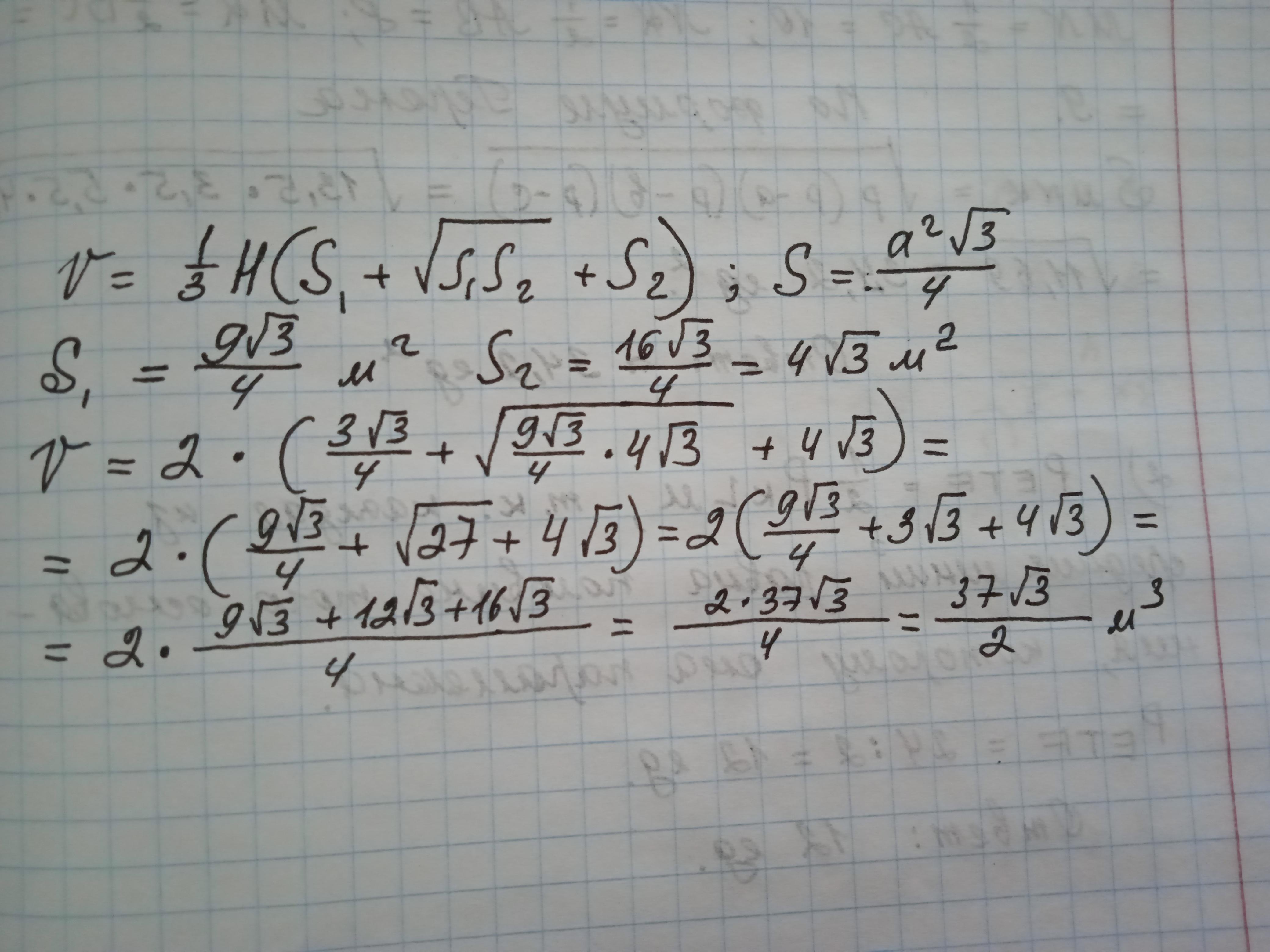
Найдите объем правильной треугольной усеченной пирамиды, высота которой 6м и стороны оснований 3м и 4м


lvv9136: Объем 32 м3 V=1/3h(S1+(S1 S2)^0.5+ S2) S1=6.93 м2 S2=3.89 м2

Ответы

Ответ дал: Пеппер
1

                           Ответ:

(37√3)/2 м³

Объяснение:

Приложения:
Вас заинтересует