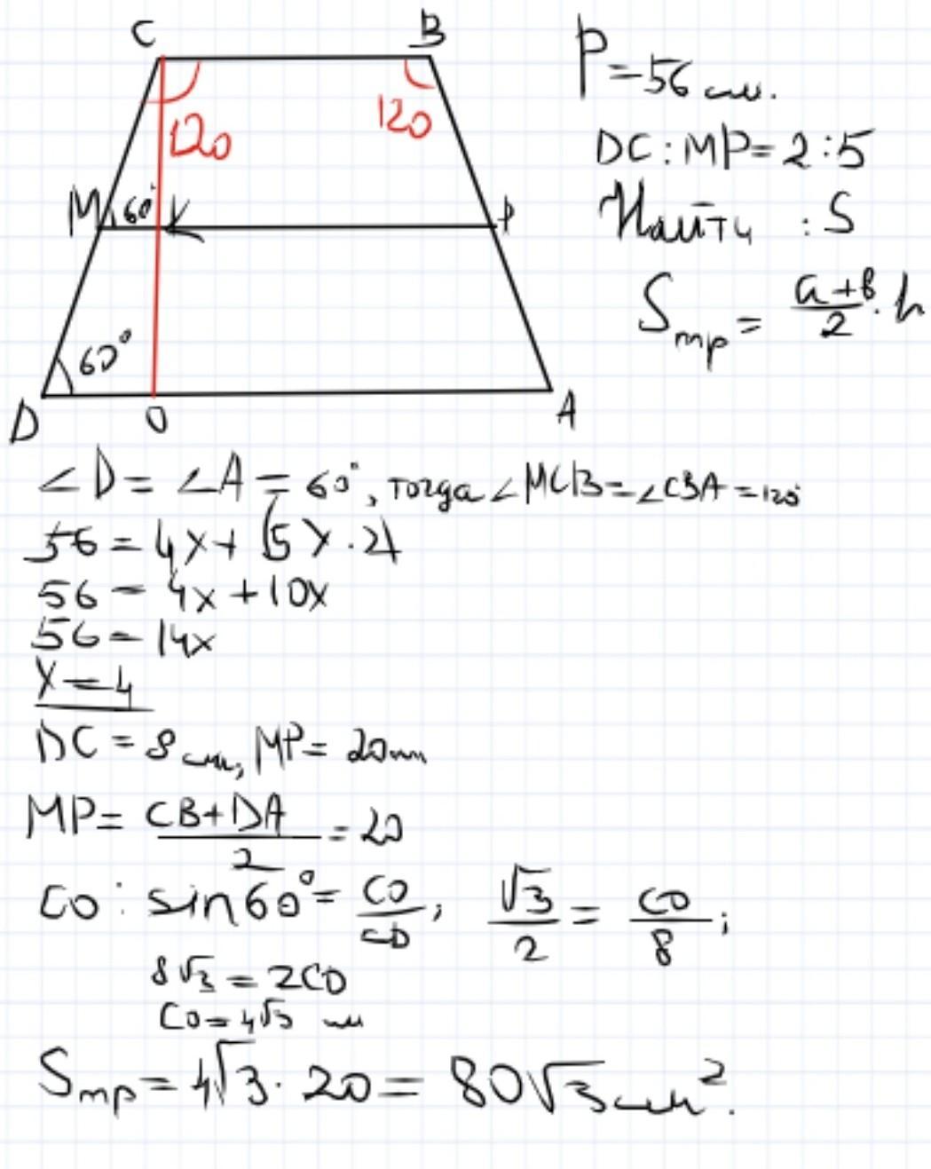
периметр равнобедренной трапеции
ABCD равен 56, угол D равен 60
градусов. Если DC:MP=2:5, найдите
площадь трапеции.
Приложения:

Ответы
Ответ дал:
2
Объяснение:
я не могу быть уверена в правильности решения, но всё должно быть так
Приложения:

zhuldyyyz:
спасибоо
Вас заинтересует
2 года назад
2 года назад
8 лет назад
8 лет назад
9 лет назад