• Предмет: Математика
  • Автор: zlatik1924
  • Вопрос задан 3 года назад

знайдіть кут в трикутника авс, якщо ac = 13 см, ab = 1 см, bc = 8√3 см​


matilda17562: о каком угле речь? или все углы необходимо найти?

Ответы

Ответ дал: mtmirai
16

Ответ:

Пошаговое объяснение:

Приложения:
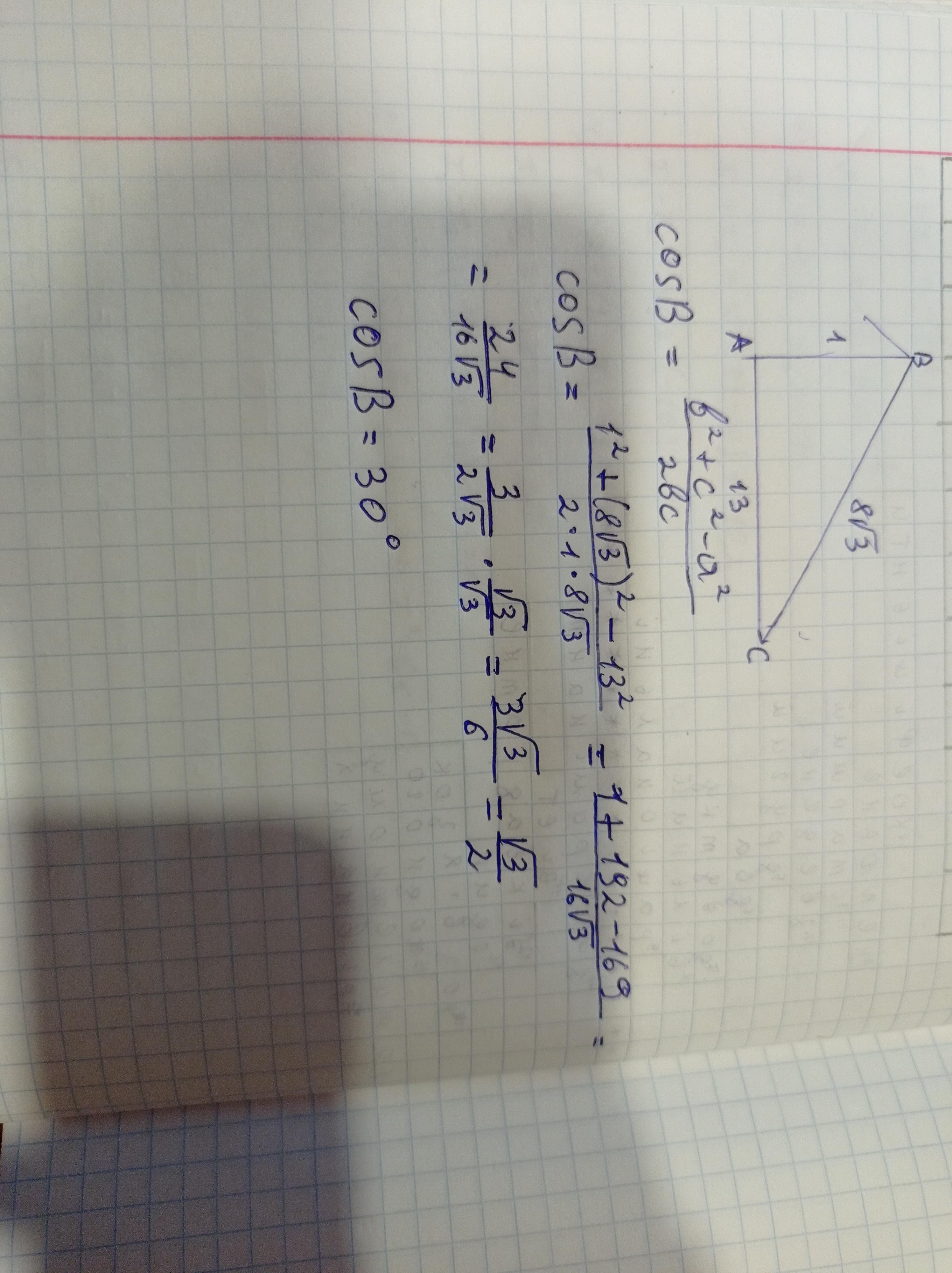
Ответ дал: abriutin
2

Ответ:

∠B = 30°

Пошаговое объяснение:

Согласно теореме косинусов:

13² = 1² +(8√3)² - 2· 1 · 8√3 · cos ∠B

2· 1 · 8√3 · cos ∠B = 1² +(8√3)² - 13²

16 √3 · cos ∠B = 24

cos ∠B = 24 : 16 √3

cos ∠B = √3/2

∠B = arccos √3/2 = 30°

Ответ:  ∠B = 30°

Вас заинтересует