• Предмет: Математика
  • Автор: Аноним
  • Вопрос задан 3 года назад

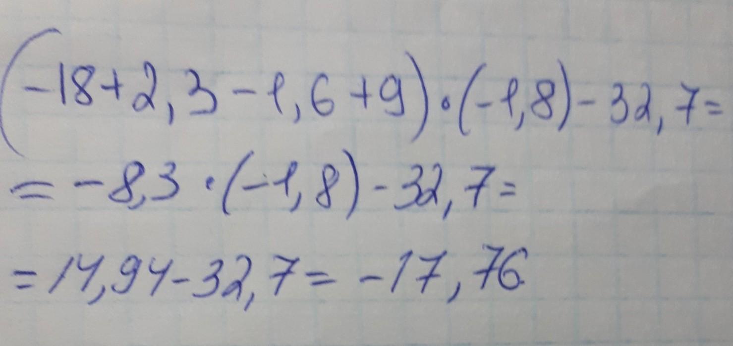
(-18+2,3-1,6+9)•(-1,8)-32,7=
ВЫЧИСЛИТЕЕЕЕ

Ответы

Ответ дал: regina2324
1

ответ -17,76

Если тебе понравился мой ответ или ты считаешь его лучшим то оцени его пожалуйста

Приложения:

regina2324: Ой ,неверно,сейчас исправлю
regina2324: теперь правильно)
Вас заинтересует