• Предмет: Алгебра
  • Автор: liza6847
  • Вопрос задан 3 года назад

Алгебра 8 класс Никольский №507 (в)
Постройте график функции и табличку​

Приложения:

Ответы

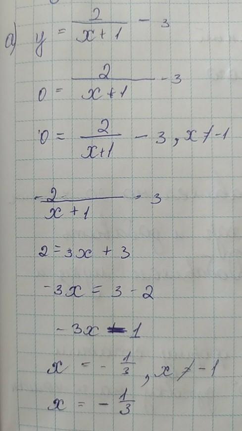
Ответ дал: koknaevakarina07
0

Ответ:

вот держите ответ

может поймёте почерк

Приложения:

liza6847: не так делат , а функцию начертить и табличку
koknaevakarina07: ну так сама тогда и делай
Вас заинтересует