Ответы
Ответ дал:
0
Ответ дал:
0
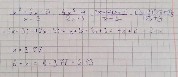
Ответ: 2.23
.......................
Приложения:

Вас заинтересует
2 года назад
2 года назад
2 года назад
2 года назад
8 лет назад
8 лет назад