Решите пожалуйста  (деление в столбике)
a) 0,24 : 4 + 15,3 : 5 + 12,4:8 + 0,15 : 30;
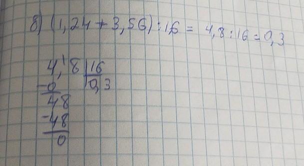
6) (1,24 + 3,56): 16;
                        
                            
                            
                    Ответы
                                            Ответ дал: 
                                                                                            
                                                    
                                                
                                                                                    
                                        
                                            
                                                
                                                
                                                
                                                    2
                                                
                                            
                                        
                                    ......................все на фото
Приложения:
                    
                            
                            
                                            Ответ дал: 
                                                                                    
                                        
                                            
                                                
                                                
                                                
                                                    1
                                                
                                            
                                        
                                    0,24 : 4 + 15,3 : 5 + 12,4:8 + 0,15 : 30
0,06+3,06+1,55+0,005
Ответ: 4,675
                    Аноним:
                    спасибо♧◇♤○
                
            Вас заинтересует
                
                        2 года назад
                    
                
                        2 года назад
                    
                
                        2 года назад
                    
                
                        8 лет назад
                    
                
                        8 лет назад