• Предмет: Математика
  • Автор: meleskovaveronika01
  • Вопрос задан 3 года назад

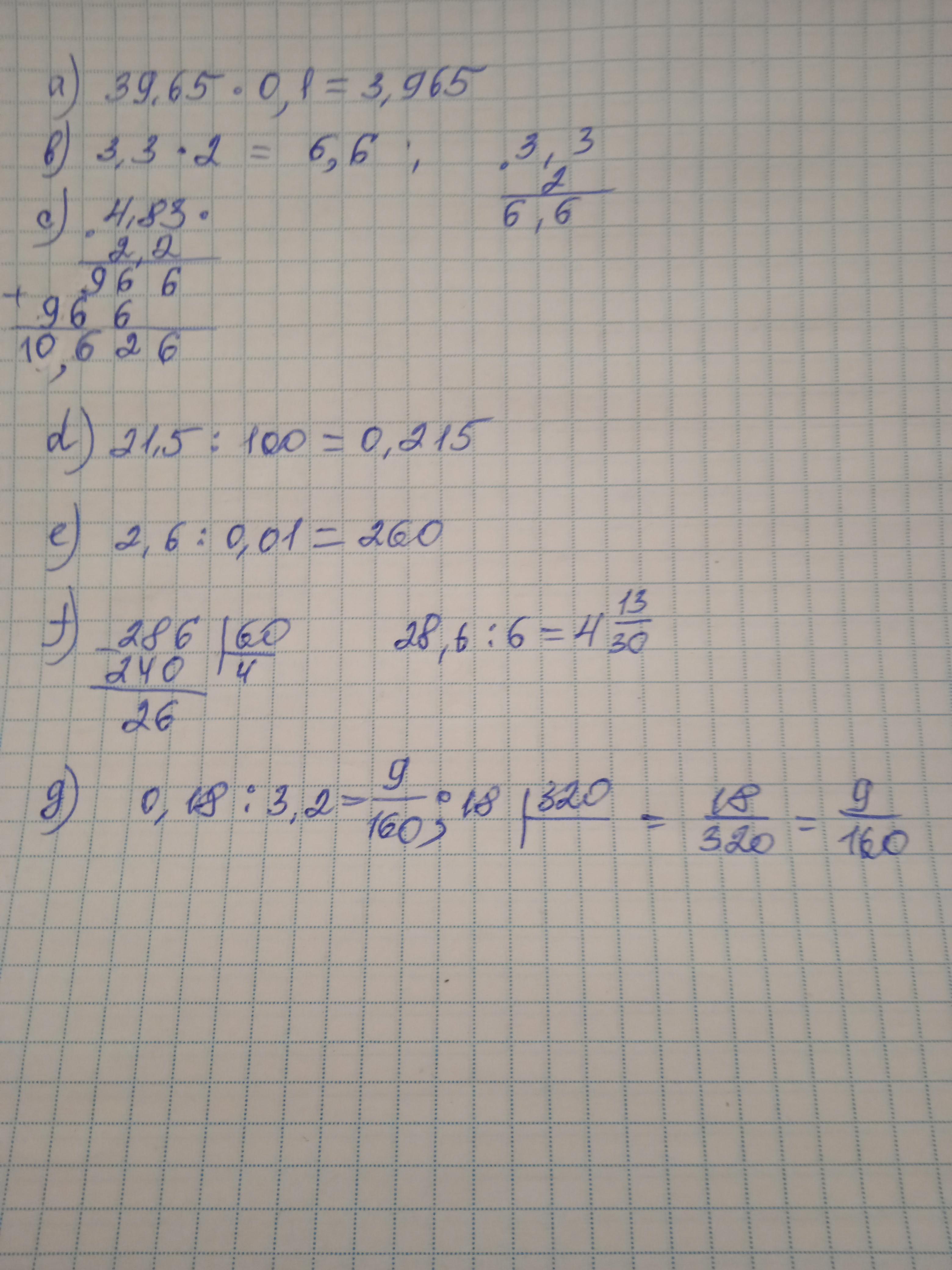
ПОЖАЛУЙСТА СРОЧНО ПОМОГИТЕ НЕАЛЬНО 100 БАЛЛОВ ПОМОГИТЕ ПЖ АЖЖАЖПЖАЖАЖАЖАЖЖАЖПЖАЖАЖАЖАЖЖАЖСЖАЖСЖСЖСЖСЖАЖ 1. Вычислите:
a) 39,65 · 0,1
b) 3,3·2
c) 4,83 · 2,2
d) 21,5 : 100
e) 2,6 : 0,01
f) 28,6:6
g) 0,18 : 3,2

Приложения:

Ответы

Ответ дал: Пеппер
0

Пошаговое объяснение:

Приложения:
Вас заинтересует