Ответы
Ответ дал:
1
Ответ:
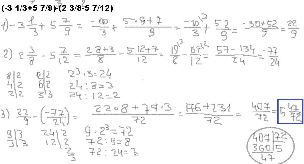
407/72
Пошаговое объяснение:
(-10/3+52/9)-(19/8-67/12)
22/9+77/24
Ответ дал:
1
Ответ:
5 целых 47/72
Пошаговое объяснение:
см фото
Приложения:

lakOR555:
++
Вас заинтересует
2 года назад
2 года назад
8 лет назад
8 лет назад
9 лет назад
9 лет назад