Ответы
Ответ дал:
0
Ответ:
Пошаговое объяснение:
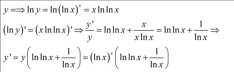
.................................................
Приложения:

Вас заинтересует
2 года назад
9 лет назад