ПОМОГИТЕ ПОЖАЛУЙСТА СРОЧНООО
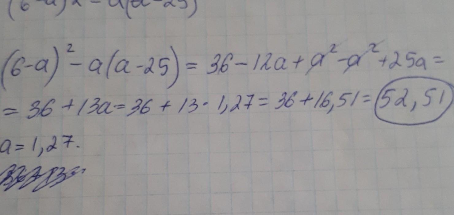
Найди значение выражения (6−a)2−a(a−25) при a=1,27.
regina2324:
(6-а) в квадрате это у тебя или просто ?
Ответы
Ответ дал:
6
(6 - a)² - a(a - 25) = 36 - 12a + a² - a² + 25a = 13a + 36
a = 1,27 ⇒ 13a + 36 = 13 * 1,27 + 36 = 16,51 + 36 = 52,51
Ответ дал:
5
Ответ:
если тебе понравился мой ответ или ты считаешь его лучшим ,то оцени или отметь его пожалуйста!)❤
Приложения:

Вас заинтересует
2 года назад
2 года назад
2 года назад
2 года назад
8 лет назад
9 лет назад
9 лет назад