• Предмет: Алгебра
  • Автор: polinkanikolaeva2007
  • Вопрос задан 3 года назад

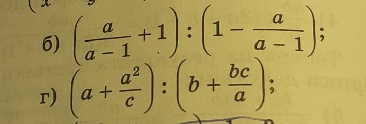
надо б г по действиям решить типо 1 2 3 умоляююю я не могу потому что не поняла ​

Приложения:

Ответы

Ответ дал: kseniafolls
1

Ответ:

Фото

Объяснение:

Приложения:

polinkanikolaeva2007: ты лучшая ваууу класс
Вас заинтересует