• Предмет: Математика
  • Автор: Olykolo
  • Вопрос задан 3 года назад

ПОМОГИТЕ ПОЖАЛУЙСТА СРОЧНО, НУЖНО
Распишите пожалуйста решение

Приложения:

Ответы

Ответ дал: Omaewam0u
2

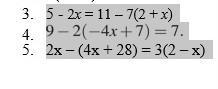
3.

5-2х=11-7(2+х)

5-2х=11-14-7х

5-2х=-3-7х

-2х+7х=-3-5

5х=-8

x =   - \frac{8}{5}

x =  - 1 \frac{3}{5}

4.

9-2(-4х+7)=7

9+8х-14=1

-5+8х=7

8х=12

х=3/2

x = 1 \frac{1}{2}

5.

2х-(4х+28)=3(2-х)

2х-4х-28=6-3х

-2х-28=6-3х

-2х+3х=6+28

х=34


Olykolo: Спасибо!
Ответ дал: valentinaSlepko
1

Ответ:

3. x=-6

4. x=1,5

5. x=34

Пошаговое объяснение:

3.

5-2х=11-7(2+х)

5-2х=11-14-7x

-2x+7x=11-14-5

5x=-30

x=-30:5

x=-6

4.

9-2(-4x+7)=7

9+8x-14=7

8x=7-9+14

8x=12

x=12:8

x=1,5

5.

2x-(4x+28)=3(2-x)

2x-4x-28=6-3x

2x-4x+3x=6+28

x=34

Возможно у меня могут быть какие либо ошибки, поэтому проверьте пожалуйста если можете.

Вас заинтересует