• Предмет: Алгебра
  • Автор: iyoshinoi33
  • Вопрос задан 3 года назад

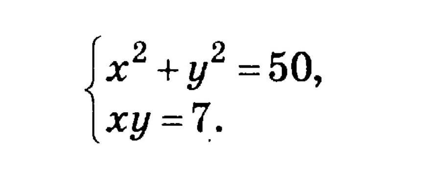
решите систему уравнений. пожалуйста с решением.​

Приложения:

Ответы

Ответ дал: anastasiaveshaeva
0

x {}^{2}  - y {}^{2}  = 50 \\ y =  \frac{7}{x}  \\ x {}^{2}  + ( \frac{7}{x} ) {}^{2}  = 50 \\ x1 =  - 1 \\ y1 =  - 7 \\ x2 = 1 \\ y2 = 7 \\ x3 =  - 7 \\ y3 =  - 1 \\ x4 = 7 \\ y4 = 1

Вас заинтересует