• Предмет: Алгебра
  • Автор: Трааал
  • Вопрос задан 3 года назад

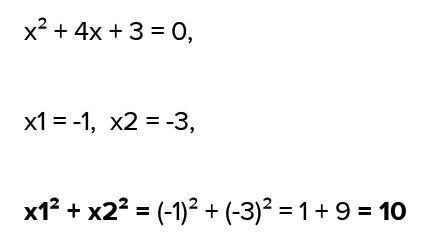
найдите значение выражения x1^2+x2^2, не решая уравнения, где x1 и x2 - корни уравнения x2+4x+3=0
Помогите у меня контрольная!!!!

Ответы

Ответ дал: iskhakovparty2
0

Ответ:на фото........

Приложения:
Ответ дал: winks0907
0

Объяснение:

ответ на фото ................

Приложения:
Вас заинтересует