2. Определи порядок действий. Вычисли, записывая действия
столбиком.
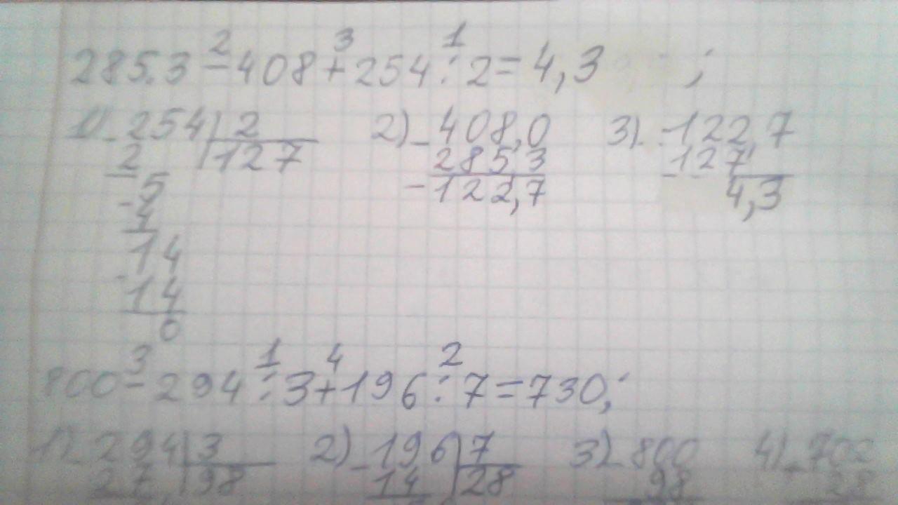
285.3 - 408 + 254 : 2
800 - 294 : 3 + 196:7
159.5-241.3 + 37.9
3253-324 : 9.6
Ответы
Ответ дал:
4
Пошаговое объяснение с порядком действий, вычислением, записанная по действия м столбиком смотри на фото:
285.3 - 408 + 254 : 2 = 4.3
800 - 294 : 3 + 196:7 = 730
159.5 - 241.3 + 37.9 = -43.9
3253 - 324 : 9.6 = 3219.25
Приложения:




Аноним:
чёта не похоже
Ответ дал:
11
Ответ:
решение на картинке
/////////////////
Приложения:


Вас заинтересует
2 года назад
2 года назад
2 года назад
8 лет назад
9 лет назад
9 лет назад