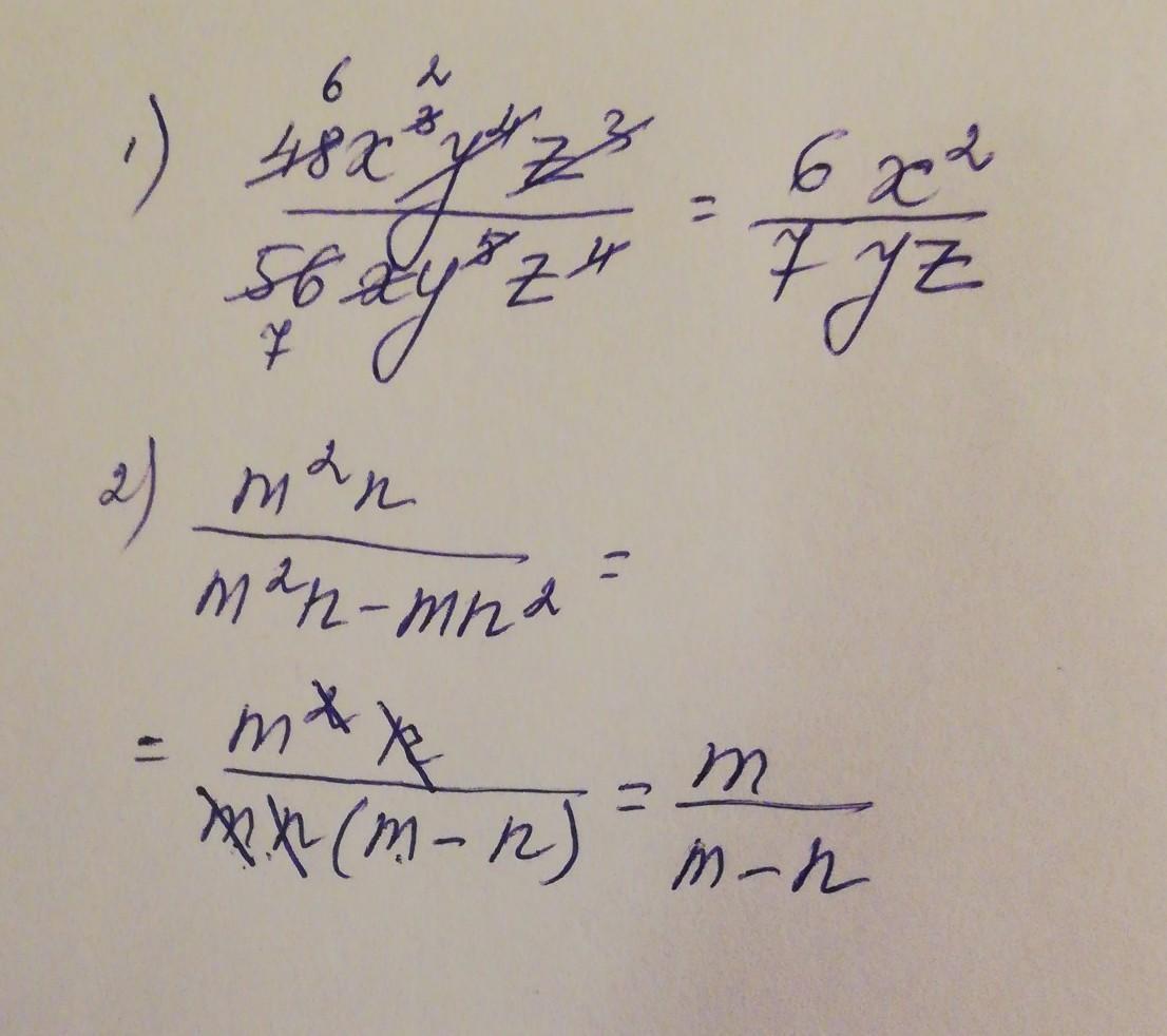
Сократите дробь :
48x³y⁴z³
------------------------------------
56xy(в пятой степени)z⁴
и
m²n
-----------
m²n-mn²
Приложения:

Ответы
Ответ дал:
1
Ответ:
Смотри решение на фото
Приложения:

Вас заинтересует
2 года назад
2 года назад
2 года назад
2 года назад
8 лет назад