• Предмет: Математика
  • Автор: kairatkarabaev666
  • Вопрос задан 3 года назад

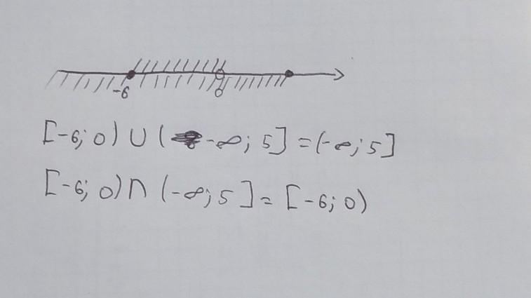
Изобразите на координатной прямой и запишите пересечение и объединение числовых промежутков: [ – 6; 0) и (−∞; 5] .

плз помогите дам 50 баллов​

Ответы

Ответ дал: Аноним
1

Ответ:

////////////////////////

Приложения:

kairatkarabaev666: спасибо
Ответ дал: Аноним
3

Ответ смотри на фото:

Приложения:
Вас заинтересует