• Предмет: Алгебра
  • Автор: Zen20
  • Вопрос задан 3 года назад

30 БАЛЛОВ!!!!! ПОМОГИТЕ ПОЖАЛУЙСТА

Приложения:

Zen20: ПОМОГИТЕ ПОЖАЛУЙСТА

Ответы

Ответ дал: lenai8125
1

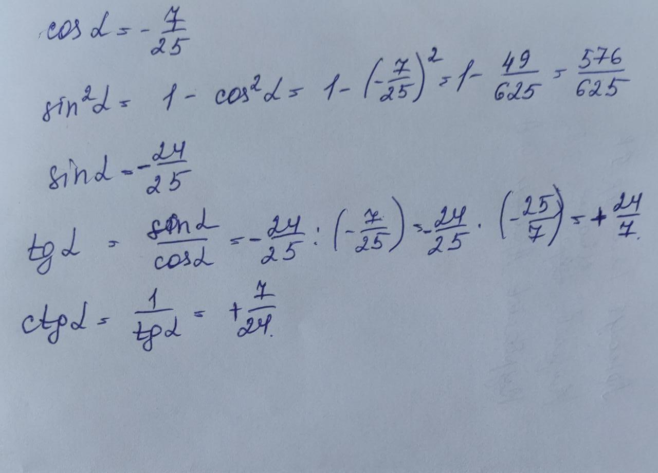
Ответ:

на фото

Объяснение:

Приложения:

Zen20: Камень брошен вертикально вверх. В момент броска он имел кинетическую энергию 300 мДж. На какую высоту подниматься камень если его масса равна 10г? (g=10 м/с2)
Zen20: ПОМОГИТЕ ПОЖАЛУЙСТА
Zen20: Даны три стороны треугольника. Найдите его углы, если: а=15, в=24, с=18.
Zen20: ПОМОГИТЕ ПОЖАЛУЙСТА
Вас заинтересует