• Предмет: Информатика
  • Автор: adaibekumirzakov
  • Вопрос задан 3 года назад

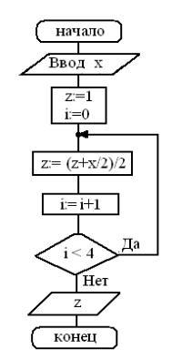
срочноооо!!!трасовочный таблицу 60 балов

Приложения:

Ответы

Ответ дал: raximberlinov
0

Ответ:

я 5 клааассссссс отпопьиобпар ч иә п облыс с ммм ч мм ммм от ит би ас от

Вас заинтересует