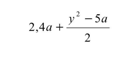
Запиши данное выражение на языке программирование:
Записать через python, даю 20 баллов
Приложения:

Ответы
Ответ дал:
2
Выражение будет выглядеть так:
2.4*a+(y**2-5*a)/2
Вас заинтересует
2 года назад
2 года назад
2 года назад
8 лет назад
8 лет назад
9 лет назад