• Предмет: Алгебра
  • Автор: pennywisemyclown
  • Вопрос задан 3 года назад

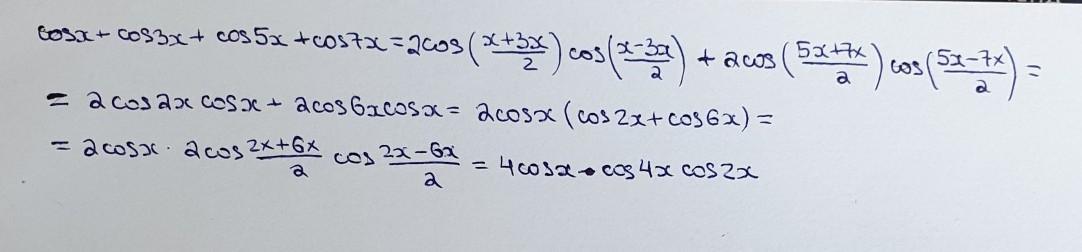
Докажите:
cosx +cos3x + cos5x + cos7x =4cosx×cos2x×cos4x​

Ответы

Ответ дал: Miroslava227
5

Ответ:

решение на фотографии.

Приложения:
Вас заинтересует