• Предмет: Математика
  • Автор: Аноним
  • Вопрос задан 3 года назад

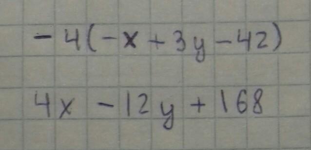
-4(-x+3y-42)
расскрыть скобки, пожалуйста решите​

Ответы

Ответ дал: EpicSans08
2

Ответ:

Ответ на фото

Пошаговое объяснение:

Ответ на фото

Приложения:

Аноним: спасибки
EpicSans08: не за что
Вас заинтересует