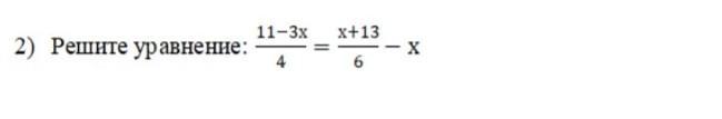
РЕШИТЕ УРАВНЕНИЕ ПОЖАЛУЙСТА
6 КЛАСС
Приложения:

vsemprivet555:
челодой моловек, не кросайтесь бомнями!
Ответы
Ответ дал:
0
Пошаговое объяснение:
33–9х=2х+26–12х
–9х+10х=26–33
х=–7
Вас заинтересует
2 года назад
2 года назад
2 года назад
2 года назад
8 лет назад
9 лет назад