• Предмет: Математика
  • Автор: bekmyrzanurali
  • Вопрос задан 3 года назад

Комектесындершы отыныш 20балл беремын

Приложения:

Ответы

Ответ дал: Аноним
0

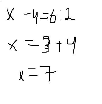
Ответ:

Пошаговое объяснение:

Приложения:
Вас заинтересует