• Предмет: Алгебра
  • Автор: dimawarface9999
  • Вопрос задан 3 года назад

решить систему уравнений
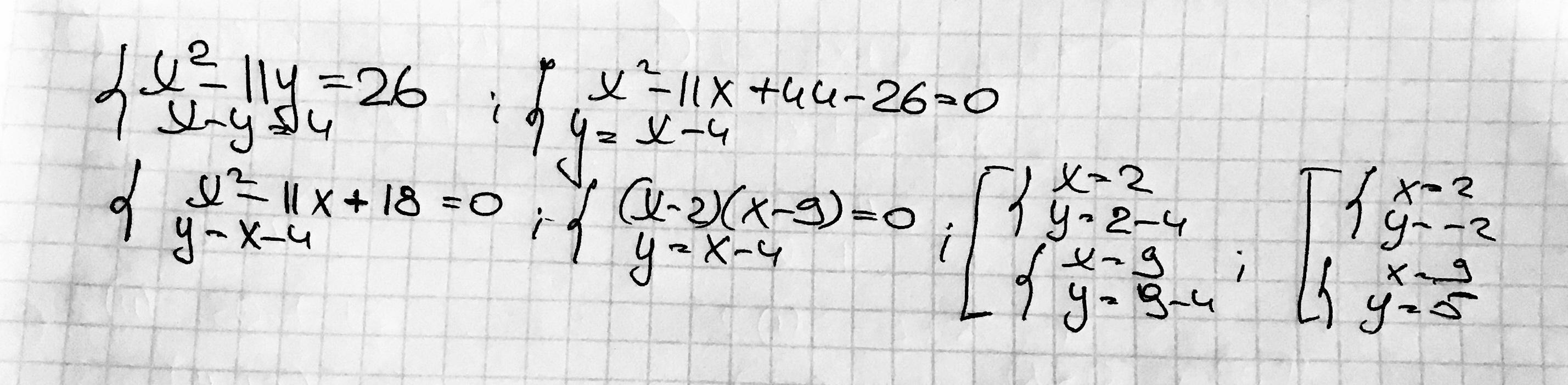
1) x^(2) - 11y = 2
x - y = 4

Ответы

Ответ дал: matalhim
0

да все получилось, вот с исправленным условием

Приложения:

dimawarface9999: я ошибся там не x^(2) - 11y = 2, x^(2) - 11y = 26
matalhim: Щас
matalhim: Перезалил фото
matalhim: Все получилось
Вас заинтересует