• Предмет: Алгебра
  • Автор: anastasiakrisko
  • Вопрос задан 3 года назад

ПОМОГИТЕ ПОЖАЛУЙСТА МАТЕМАТИКА ВОСЬМОЙ КЛАСС!!!!
умоляю!!​

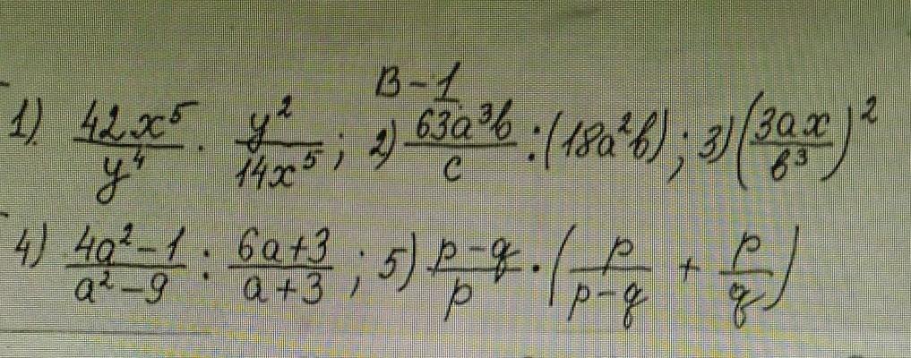
Приложения:

Ответы

Ответ дал: serovaksusa1
1

Ответ:

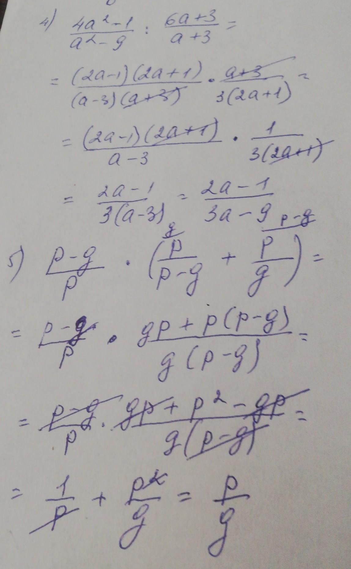
Смотри решение на фото

Приложения:

abriutin: Ошибка в первом задании: пропустили 4-ю степень в знаменателе.
serovaksusa1: Спасибо, все исправила!!!!!!!
serovaksusa1: Исправьте пожалуйста 1 пример, я решение изменила, как надо. выставила новое фото
abriutin: Да, теперь ОК))) 3/у^2
serovaksusa1: спасибо ещё раз))))))))
abriutin: Не за что))))
Ответ дал: abriutin
1

Ответ:

См. Объяснение

Объяснение:

1) 3/у²

2) 7а/2с

3) 9а²х²/b⁶

4) (2a-1)/3(а-3)

5) p/q

Вас заинтересует