• Предмет: Математика
  • Автор: Аноним
  • Вопрос задан 3 года назад

помогите решить пожалуйста!​

Приложения:

Ответы

Ответ дал: Darki0uz
1

Ответ:

Пошаговое объяснение:

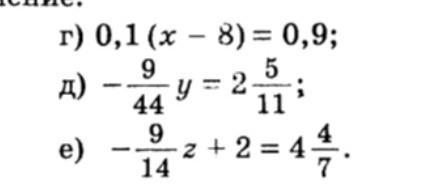
г)

0.1(x-8)=0.9

0.1x-0.8=0.9

0.1x=1.7

x=1.7/0.1

x=17

д)

-9/44y=2 5/11

y=-2 5/11 : 9/44

y= -12

е)

-9/14z+2=4 4/7

-9/14z=4 4/7 -2

-9/14z=2 4/7

z= -2 4/7 : 9/14

z=-4


Аноним: огромное спасибо !
Вас заинтересует