• Предмет: Алгебра
  • Автор: Saakura
  • Вопрос задан 3 года назад

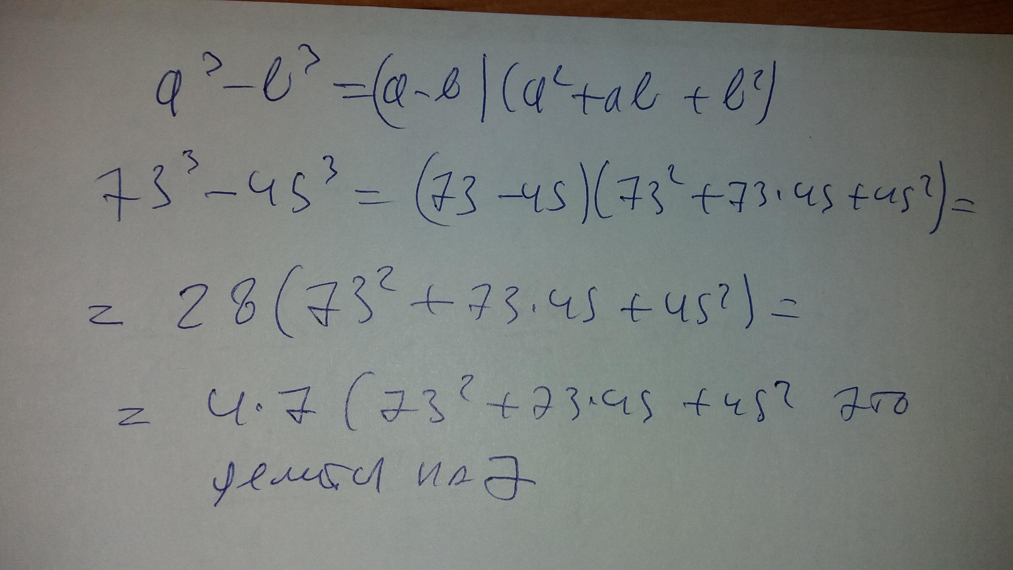
4.докажите что значение выражения:73^3 45^3 деляться на 7

Ответы

Ответ дал: bena20193
1

Ответ:

Объяснение:

--------

Приложения:
Вас заинтересует