• Предмет: Математика
  • Автор: nastaseliverstova8
  • Вопрос задан 3 года назад

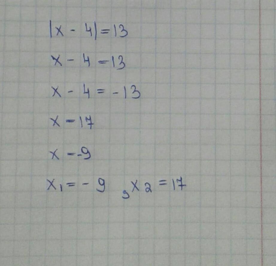
|x-4|=13.............​


mukanakmaral5: ??

Ответы

Ответ дал: yarkinatanya07
0

Ответ:

х1=-9

х2=17

подробное решение на фото

удачи ))

Приложения:
Вас заинтересует