• Предмет: Алгебра
  • Автор: Аноним
  • Вопрос задан 3 года назад

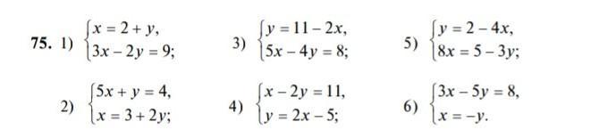
помогите пожалуйста !!!!!!!!​

Приложения:

Ответы

Ответ дал: s9048627
0

Ответ:

скачай Photomath, оно всё решит

Вас заинтересует