• Предмет: Алгебра
  • Автор: dielena13
  • Вопрос задан 3 года назад

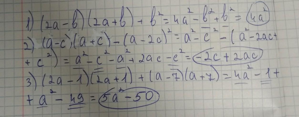
Упростите выражения:
1) (2а - в)(2а + в) + в^2
2) (а - с)(а + с) - (а - 2с)^2
3) (2а - 1)(2а + 1) + (а - 7)(а + 7)

Приложения:

Ответы

Ответ дал: gassanulia2007
1

Ответ:

удачи и успехов в учёбе)))

Приложения:
Вас заинтересует