• Предмет: Алгебра
  • Автор: oktyabrina86
  • Вопрос задан 3 года назад

помогите пожалуйста




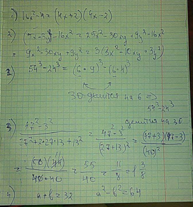
В конце слова которое не видно РАЗНОСТЬ​

Приложения:

Ответы

Ответ дал: bururik228
0

Ответ:

Первая часть, 4й номер сейчас доделаю, и кину в комменты

Объяснение:

Приложения:

oktyabrina86: спасибо
Вас заинтересует