• Предмет: Геометрия
  • Автор: caginartem484
  • Вопрос задан 3 года назад

Помогите пожалуйста очень прошу


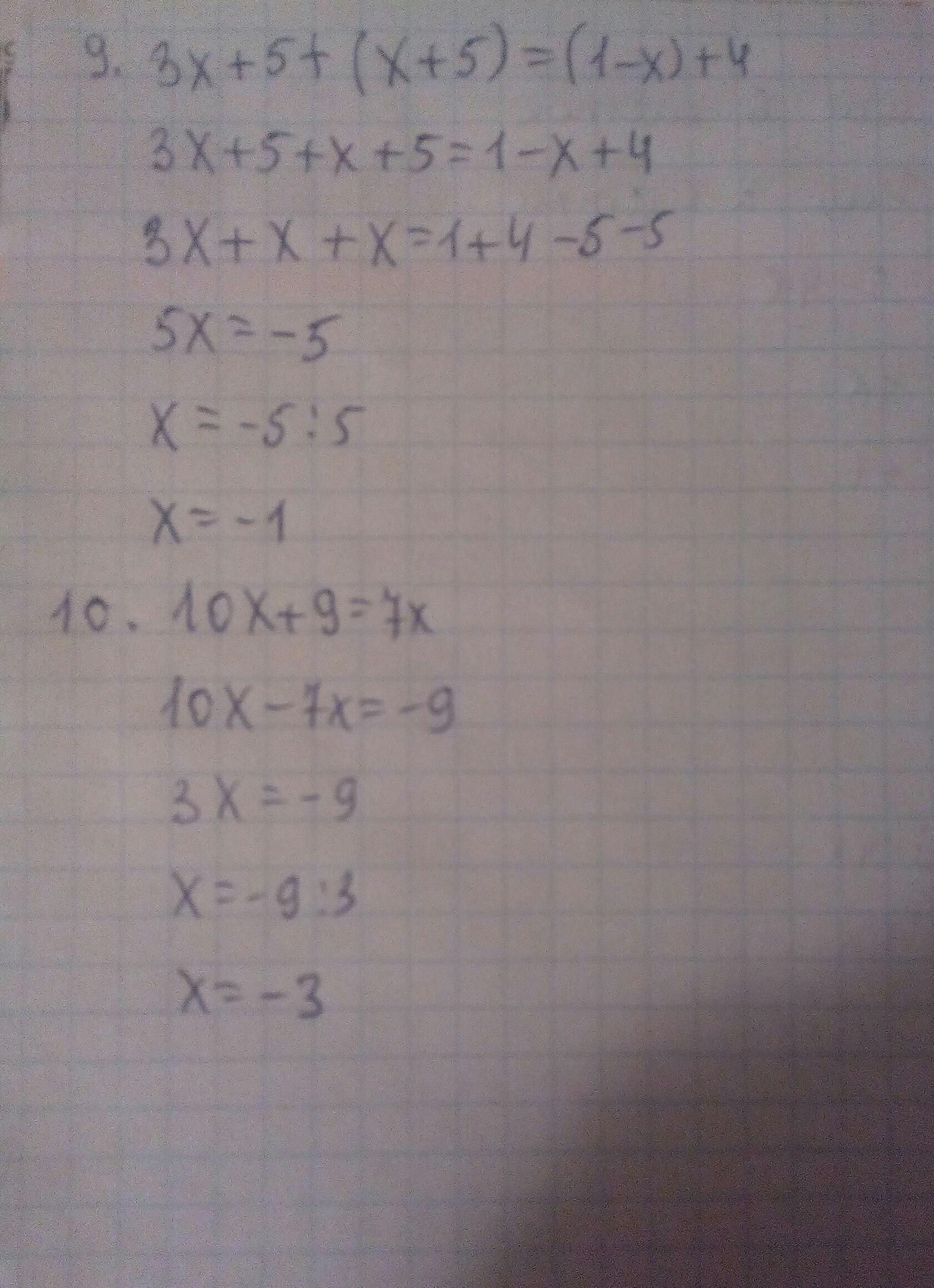
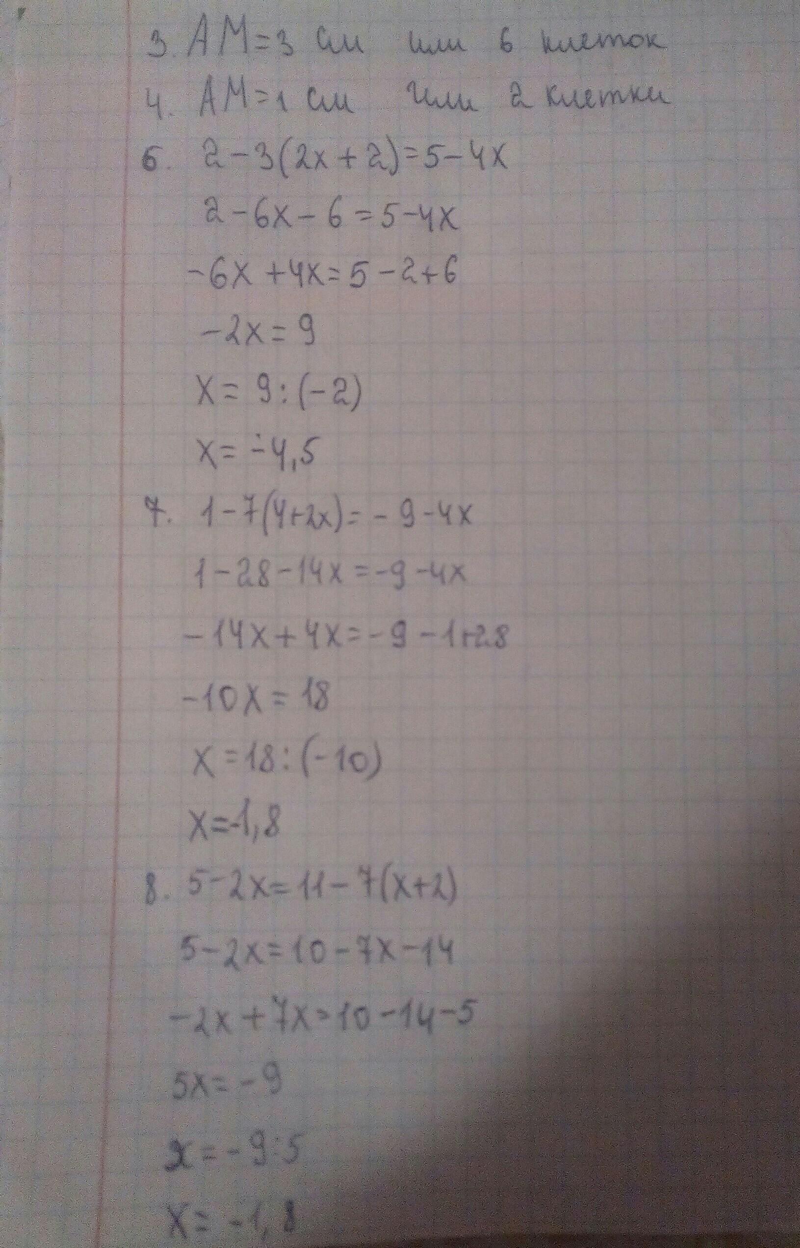
(2, 6-10)

Приложения:

Ответы

Ответ дал: weellov
0

Объяснение:

за качество сори(((((((

Приложения:
Вас заинтересует