Ответы
Ответ дал:
1
Ответ:
n принадлежит Z.
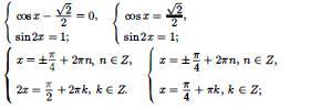
Отметим корни на числовой окружности:
рисунок
Выбираем корни, которые имеют общую точку
то есть
n принадлежит Z.
Приложения:

Вас заинтересует
2 года назад
2 года назад
2 года назад
8 лет назад
8 лет назад
9 лет назад