• Предмет: Алгебра
  • Автор: kamillamiftahova9
  • Вопрос задан 3 года назад

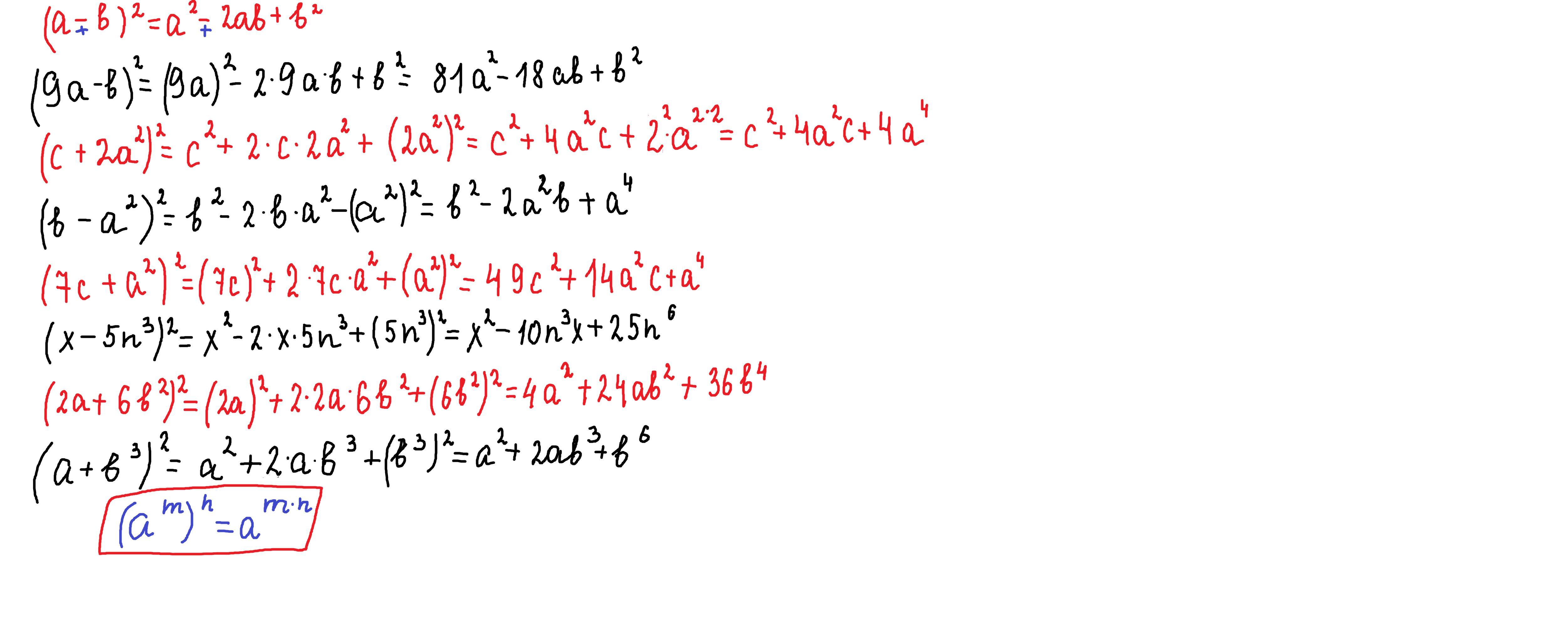
Люди , помогите пожалуйста . Мне не нужны ответы , просто объясните как это делать и я сама всё сделаю . От этого зависит моя итоговая оценка по алгебре .

Приложения:

kamillamiftahova9: Оу
AlexeiDobrov: хотя погди это надо это выродение умножить спмо на себя
AlexeiDobrov: надо выражение умножииь само на себя
kamillamiftahova9: Ну вот смотри : (у²-4)²=у⁴-2•4•у²+4²=у⁴-8у²+16
kamillamiftahova9: А вот типо когда степень находится с правой стороны ,,, мне так и не объяснили куда её .
AlexeiDobrov: нет не надо оставь в виде до второго равно
AlexeiDobrov: блин извини я сейчас не особо сооброжаю
kamillamiftahova9: Да ничего , спасибо и за это . Ты мне очень сильно помог )
AlexeiDobrov: ну рад что чем то смог помочь обращайся если что
kamillamiftahova9: Угу , огромное спасибо :з

Ответы

Ответ дал: parus77
0

Ответ:

Объяснение:

решение внизу,где не понятно-спрашивай.

Приложения:
Вас заинтересует