• Предмет: Алгебра
  • Автор: msnikvit
  • Вопрос задан 3 года назад

Помогите пожалуйста!! Срочно ​

Приложения:

Ответы

Ответ дал: anastasiaveshaeva
1

Ответ:

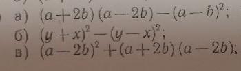
(a + 2b)(a - 2b) - (a - b)  {}^{2} = a {}^{2}   - 4b {}^{2}  - a {}^{2}  + 2ab - b {}^{2}  =  - 5b {}^{2}  + 2ab

(y + x) {}^{2}  - (y - x) {}^{2}  = 4xy

(a - 2b) {}^{2}  + (a + 2b)(a - 2b) = (a - 2b) \times 2a


msnikvit: а как ты решила б?
anastasiaveshaeva: y^2+2xy+x^2-y^2+2xy-x^2=4xy
Вас заинтересует