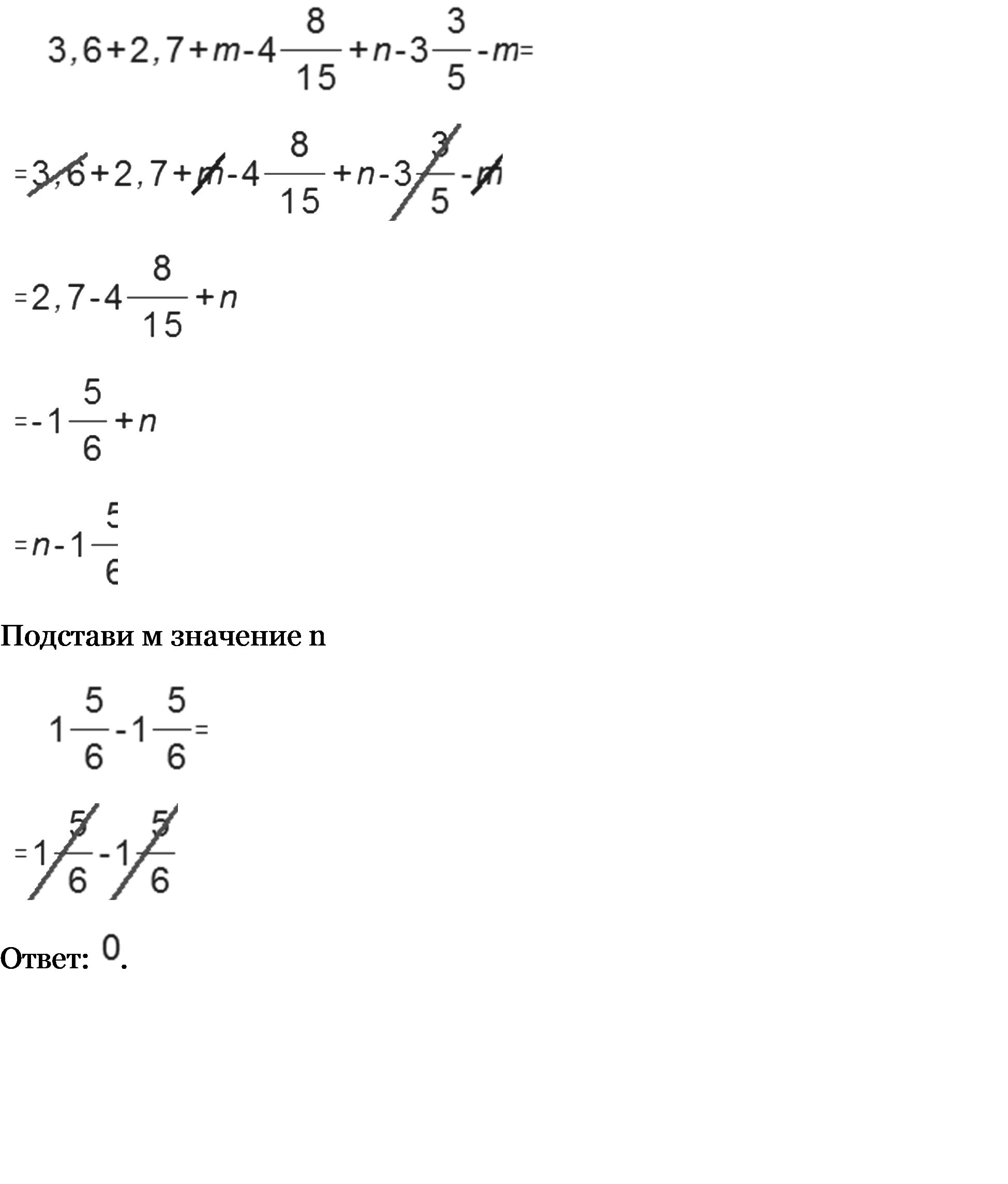
1. Упростите выражение: 3.6 + 2.7 + m - 4цел 8/15 + n - 3цел 3/5 - m и найдите его значение при n= 1цел 5/6
2.решите уравнение: 5/14y - 12=4/21y - 7.5
Ответы
Ответ дал:
0
файл
-----------------------------
Приложения:


Вас заинтересует
2 года назад
8 лет назад
10 лет назад
10 лет назад
10 лет назад