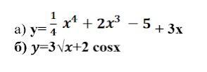
Найдите производную функции:
Варианты Ответа:
а) У′=х^(3 )+6х^2+3; у′= 3/√х-2sinx
б) У′=х^(3 )+6х^2+3 ; у′= 3/(2√х)-2sinx
в) У′=х^(3 )+6х^2+3 ; у′= 3/(2√х)+2sinx
г) У′= х^(3 )+6х^2+3 ; у′= 3/(2√х)-2cosx
Пожалуйста с решением.
Это срочно) пожалуйста помогите
Приложения:

Ответы
Ответ дал:
1
Ответ:
Объяснение:
а) y'=(1/4)4x³+2*3x²+3=x³+6x²+3
б) y'=3(1/(2√x)-2sinx=3/(2√x)-2sinx
Вас заинтересует
2 года назад
2 года назад
2 года назад
8 лет назад