• Предмет: Алгебра
  • Автор: zaroslav396
  • Вопрос задан 3 года назад

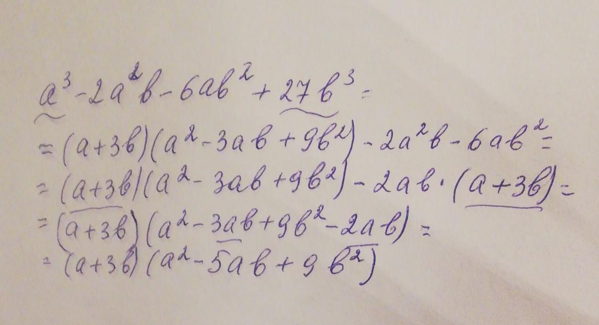
a^3 - 2a^2b - 6ab^2 + 27b^3 разложить на множители

Ответы

Ответ дал: serovaksusa1
2

Ответ:

Смотри решение на фото

Приложения:

serovaksusa1: Если что непонятно, спрашивайте, отвечу
Вас заинтересует