• Предмет: Алгебра
  • Автор: firebro556
  • Вопрос задан 3 года назад

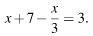
Решите уравнение - - - - - -

Приложения:

Ответы

Ответ дал: 12233344455555
0

Ответ: x+7-x/3=3|•3

3x+21-x=9

3x-x=9-21

2x=-12|:2

x=-6

Объяснение:

Вас заинтересует