Ответы
Ответ дал:
1
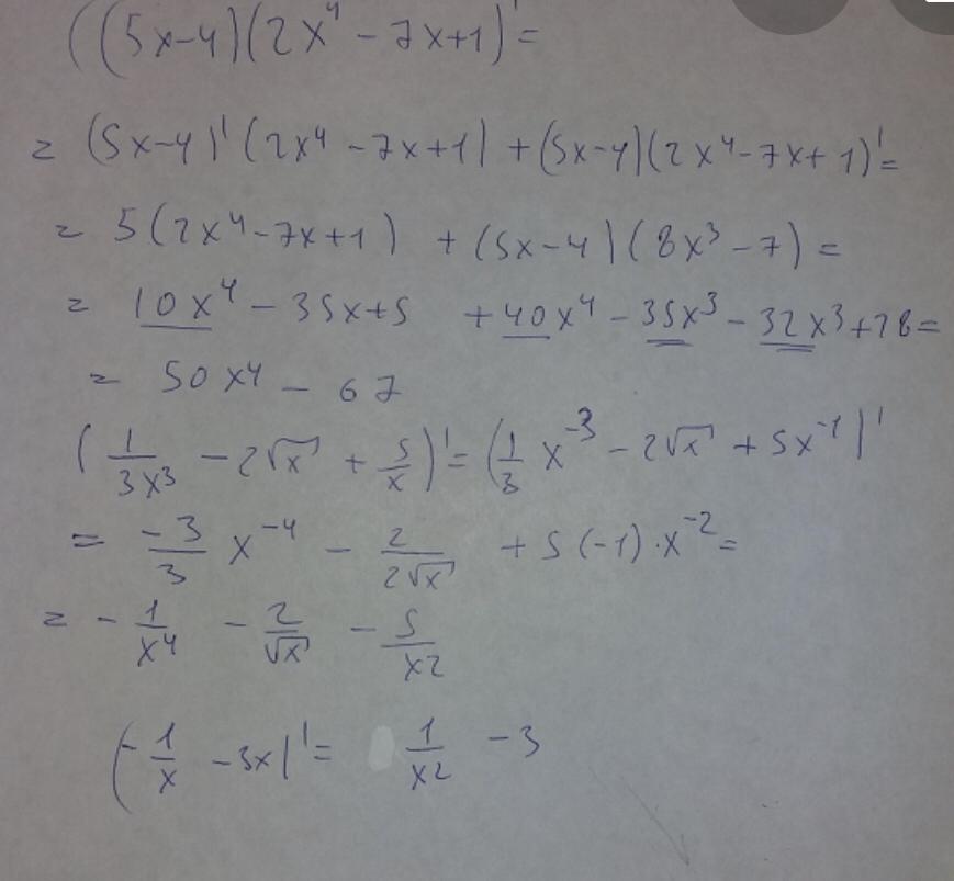
Держи) удачи тебе и учись сам!
Приложения:

Вас заинтересует
2 года назад
2 года назад
2 года назад
8 лет назад
9 лет назад