• Предмет: Алгебра
  • Автор: Rimaks
  • Вопрос задан 3 года назад

Решите уравнение пожалуйста с полным решением

Приложения:

Ответы

Ответ дал: linasunday777
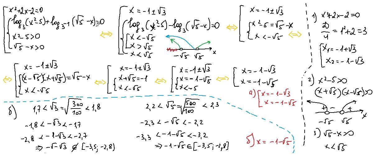
1

Ответ:

см решение в прикрепленном фото

Объяснение:

Приложения:
Вас заинтересует